Rodolfo La Maestra

Rodolfo La Maestra

Senior Technical Director

Rodolfo La Maestra is the Senior Technical Director at HDTV Magazine and participated in the HDTV vision since the late 1980's. In the late 1990's, he began tracking all HDTV consumer equipment, and since 2002 he authors the annual HDTV Technology Review report covering HDTVs, Hi-def DVD, content providers, broadcast, cable, satellite, government, standards, connectivity, content protection, H/DTV tuners and DVRs, etc. In addition Rodolfo has authored a variety of tutorials, books, and educative articles for HDTV Magazine, DVDetc, and HDTVetc Magazines, Veritas et Visus Newsletter, Display Search, and served as technical consultant/editor for the "Reference Guide" and the "HDTV Glossary of Terms" for HDTVetc and HDTV Magazines. In 2004, he began recording a weekly HDTV technology program for MD Cable television, which by 2006 reached the rating of second most viewed by the public, here is the opening episode. Rodolfo's background encompasses Electronic Engineering, Computer Science, and Audio and Video Electronics, over 4,700 hours of professional training, a BS in Computer and Information Systems, and over thirty professional and post-graduate certifications, some from American, George Washington, and MIT Universities. Rodolfo was also Computer Science professor for over 700 students in five institutions between 1966-1973 in Argentina, for IBM, Burroughs, and Honeywell mainframes. After 38 years of computer systems career, Rodolfo retired in 2003 as Chief of Systems Development from the Inter-American Development Bank where he directed 65 software-development computer professionals, supporting member countries in north/central/south America 24x7. In parallel, from 1998 he helped the public with his other career of audio/video electronics. Rodolfo started with hi-end audio in the early 60’s and merged with Home Theater video, multichannel audio, widescreen laser disc, anamorphic DVD, 16x9 NTSC displays, HDTV, Hi-def DVD, IPTV, HDMI, and 2.35:1 Cinemascope HD Home Theater over the past 40+ years. When HDTV started airing in November 1998, he was an early adopter of HDTV and realized that the technology as implemented would overwhelm regular consumers due to its complexity, and it certainly does even today. Rodolfo then launched his HDTV mission of educating and helping consumers understand the complexity, the challenge, and the beauty of the technology, so the public learns to appreciate HDTV not just as another television.

137 articles

Living with 4K - Bought an UHDTV? wait, is it Upgradeable?

Early UHDTV adopters face potential obsolescence as the ITU Rec. 2020 standard introduces features beyond 4K pixel resolution, including 10/12-bit color depth, 4:2:2 and 4:4:4 chroma subsampling, HDCP 2.2 content protection, and HDMI 2.0 support for 4K at 60fps - capabilities many current displays cannot handle. Most manufacturers offer no upgrade path, while Samsung's replaceable connectivity box and Sony's in-home hardware upgrades for models like the $25,000 VW-1000 projector represent notable exceptions. Buyers should carefully evaluate upgrade commitments before purchasing, as connectivity gaps similar to the HDTV-to-HDMI transition of 1998-2003 could strand millions of early adopters again.

Articles
Living with 4K - Nuvola 4K Player NP-1

Living with 4K - Nuvola 4K Player NP-1

The Nuvola NP-1 is a $299 4K media player powered by an NVIDIA Tegra 4 quad-core processor with 72 GPU cores, running Android 4.2 and featuring a single HDMI 1.4 output limited to 4:2:0 chroma subsampling at 8-bit depth and 24/30 fps. It supports H.264-based 4K streaming and local playback via USB 3.0 storage, with H.265/HEVC support promised via firmware update, but its single-HDMI design forces buyers to use an HDMI splitter or sacrifice multichannel audio. Compared to Sony's $699 FMP-X1, the NP-1 offers broader TV compatibility and lower cost, though its video and audio connectivity limitations have real consequences for home theater installations.

Articles
Kaleidescape Cinema One - Review

Kaleidescape Cinema One - Review

The Kaleidescape Cinema One is a 4TB media server priced at $3,995, capable of storing up to 100 Blu-ray-quality or 600 DVD-quality movies, with bitstream pass-through of Dolby TrueHD and DTS-HD Master Audio over HDMI. Testing against an Oppo reference player in a high-end home theater revealed that a default-enabled detail enhancement setting degraded image quality when used alongside a Darblet video processor, and AACS licensing requires the physical Blu-ray disc to be present during playback of imported titles unless a $3,995 DV700 vault is added. Factoring in hardware amortization, per-movie cost-of-ownership for Blu-ray collectors ranges from roughly $60 to $105 depending on system configuration, making the value proposition heavily dependent on collection size and usage pattern.

Articles
Living with 4K - Here is the 4K Content

Living with 4K - Here is the 4K Content

Sony's 4K demo server for projector owners is an HP-based system delivering up to 2 hours of 4K content, including the 48-minute TimeScapes nature film, connected via hi-speed HDMI with only stereo or Dolby 5.1 audio tracks via Toslink. Content is encoded at 8-bit, 4:2:0, Rec-709 color space at 24fps, the same baseline as Blu-ray, leaving the full potential of 4K unrealized in many clips. Viewers evaluating on a 130-inch Stewart Firehawk screen found that well-shot material like the Rocky Mountain Express clips delivered a convincing sense of realism, but inconsistent lighting and compression in other clips made some 4K content indistinguishable from 1080p Blu-ray.

Articles
SmartStick Makes "Any" TV Smart

SmartStick Makes "Any" TV Smart

The Favi Entertainment SmartStick is a $49.99 Android 4.0 HDMI dongle featuring an ARM Cortex-A9 at 1.0 GHz, 1GB DDR3 RAM, and 802.11 b/g/n Wi-Fi, designed to add Netflix, YouTube, browsing, and email to existing displays. Testing revealed persistent Wi-Fi instability even on a 100Mbps fiber connection clocking 57Mbps at the router, a non-functional remote, and output limited to 720p and 1080p, excluding the estimated 124 million US TVs lacking HDMI or requiring 480i/1080i signals. Buyers should verify HDMI and resolution compatibility with their specific TV before purchasing, and confirm a flexible return policy given the erratic real-world performance documented here.

Reviews

HDTV Adoption - Not as High in Number of HDTV Sets

CEA data shows 244 million DTVs shipped since 1998, representing 68% penetration of the estimated 357 million TV sets in U.S. households (119 million households at 3 TVs each), yet Leichtman Research Group survey data extrapolates to as many as 198 million analog TVs still in use, or 55% of all sets. The gap between household-level adoption figures (CEA's 68-88%) and actual TV-set-level penetration reveals a more sobering picture of the DTV transition. At the current shipping rate of roughly 33 million DTVs per year, full analog replacement could take 4 to 6 additional years, excluding sets that replace already-digital units.

Articles

3DTV is Not Dead, It's Just Facing Reality Beyond the Hype

The ATSC A/104 Service Compatible Hybrid Coding (SCHC) standard, approved December 2012, defines a 3DTV broadcast framework using MPEG-2 for the base view and AVC/H.264 for the additional view within a single 6MHz terrestrial channel. Europe's Sisvel Technology offers a competing approach via its 3DZ Tile Format, which encodes dual 1280x720p eye images plus a depth map within a single 1920x1080 MPEG-4 frame, leaving roughly 230,400 pixels for auto-stereoscopic data. Both systems prioritize backward compatibility with legacy HDTVs, meaning viewers can receive 3D broadcasts on existing sets without a channel change, though a firmware or hardware update to MPEG-4 set-top-boxes is required for full 3D decoding.

Articles

Living with 4K - Blu-ray Association Evaluating Adding 4K - How to see 4K now

The Blu-ray Disc Association has formed a 'format extension study task force' to evaluate adding 4K, high frame rate, and other technologies to the Blu-ray specification, assessing technical feasibility, market demand, and backward compatibility with existing players. Meanwhile, Sony is demonstrating native 4K content recorded with its F65 camera on dedicated servers, viewable on its $25,000 4K ES projector, with the author noting a perceptible quality difference over upscaled 1080p Blu-ray even at 15 feet on a 10-foot wide Cinemascope screen. For collectors, the prospect of 4K discs - potentially supporting DCI 4K or UHDTV color specs beyond the current 8-bit, 4:2:0, Rec. 709 standard - represents a meaningful upgrade worth watching.

Articles

Living with 4K - No disc? The end of Collecting Movies?

With Red's Redray player ($1,450 MSRP) and Sony's mid-2013 4K media server both relying on download-and-store delivery rather than physical disc formats, the 4K content landscape is shaping up to bypass pre-recorded media entirely. The Blu-ray Association has stated it is not working on a 4K disc standard, echoing the 8-year gap between 1080i HDTV's 1998 debut and Blu-ray's 2006 introduction. For collectors accustomed to owning lossless-quality physical media with full language tracks, subtitle control, and permanent access, a streaming-only 4K ecosystem raises serious concerns about long-term quality and ownership.

Articles
Living with 4K - The REDRAY 4K Digital Cinema Player

Living with 4K - The REDRAY 4K Digital Cinema Player

The REDRAY 4K player from RED DIGITAL CINEMA is a download-and-playback device priced at $1,450 that uses a proprietary .RED compression format requiring only 20 Mbps to deliver 4K content, comparable to MPEG-2 HD broadcast bitrates. The player outputs up to 4096x2160 resolution with 12-bit 4:2:2 color, supports 24-bit 7.1-channel LPCM audio at 48 kHz via dual HDMI outputs (1.4 for video, 1.3 for audio), and connects to RED's Odemax distribution platform. For early 4K adopters, this represents one of the only available 4K signal sources, though its content library and audio specs fall short of Blu-ray's 96 kHz or 192 kHz audio capabilities.

Articles
OLED TV Demystified

OLED TV Demystified

LG's 55-inch WOLED HDTV uses a 4-sub-pixel white OLED architecture with color filters and passive 3D at half resolution per eye, priced at $12,000 for Q1 2013 US availability, while Samsung's Super OLED employs a filterless RGB design with active-shutter 3D delivering full resolution per eye. The RGB approach conserves the shorter-lived blue organic material by activating it only when blue output is needed, whereas WOLED continuously drives all sub-pixels to produce white light regardless of the target color. Consumers evaluating these displays should weigh Samsung's potential longevity and wide-angle image quality advantages against LG's near-term market availability.

Articles
Review: DarbeeVision Visual Presence DVP 5000 (Darblet)

Review: DarbeeVision Visual Presence DVP 5000 (Darblet)

The DarbeeVision DVP 5000 (Darblet) is a $349 HDMI video processor that applies proprietary Visual Presence depth-enhancement technology, with adjustable effect levels ranging from 0 to 120 percent across three processing modes (HD, game, and full-pop). Tested alongside a Sony 4K projector already performing Reality Creation upscaling beyond 8 million pixels, the Darblet delivered measurable perceptual improvements even on that high-quality source, with a signal delay of just 0.2 milliseconds at 1080p/60. Practical caveats include augmented film grain at settings above the low teens and zone plate test pattern artifacts at 75 percent, making careful level calibration essential for optimal results.

Reviews
Living with 4K (Part 6) - Which 4K? Sony - DCI 4K and Ultra-HD Capable

Living with 4K (Part 6) - Which 4K? Sony - DCI 4K and Ultra-HD Capable

Sony's 4K projector uses a native 4096-pixel DCI 4K chip, displaying 3840x2160 Ultra-HD content via center pixels with 128 unused pixels on each side rather than uneven upscaling, making it genuinely compliant with both DCI 4K and the CEA's Ultra-HD standard. The CEA's adoption of the 3840x2160 'Ultra HD' label introduced naming friction with the broader UHDTV framework already covering 2160p and 4320p formats. Understanding these distinctions matters for buyers evaluating whether a display is a true 4K DCI device or a 16:9 Ultra-HD panel with a different pixel grid.

Articles

Living with 4K (Part 5) - Which 4K ... DCI 4K, Ultra-HDTV, Ultra-HD, Quad-Full-HD?

The CEA's October 2012 Ultra-HD specification defines a minimum display resolution of 3840x2160 at 16:9 aspect ratio, yet omits minimum requirements for bit depth, frame rates, or HDMI 2.0 signal acceptance beyond the current HDMI 1.4 standard's 4K 24/30fps limit. This creates direct nomenclature conflicts with the EBU's UHD-1/UHD-2 framework and the ITU's established Ultra-HDTV standards, which also encompass the 7680x4320 (8K) format. Consumers shopping for next-generation displays face compounding confusion from overlapping terms across DCI 4K, Ultra-HDTV, and Ultra-HD, making it difficult to evaluate whether a product meets any consistent technical benchmark.

Articles
Living with 4K (Part 4) - Which 4K ... DCI 4K, Ultra-HDTV, Ultra-HD, Quad-Full-HD?

Living with 4K (Part 4) - Which 4K ... DCI 4K, Ultra-HDTV, Ultra-HD, Quad-Full-HD?

The DCI 4K standard, published in 2005 by seven major studios, defines a 4096x2160 resolution format using JPEG2000 encoding, 12-bit XYZ color space, and a maximum data rate of 250 Mbit/s, while the ITU-R BT.2020 UHDTV specification sets 3840x2160 and 7680x4320 resolutions with 10/12-bit quantization and up to 120fps progressive scan. These two competing standards use different pixel counts and color spaces, meaning a DCI 4K projector and a consumer Ultra-HDTV display are not interchangeable formats despite sharing the '4K' label. Understanding these distinctions is essential for anyone evaluating 4K display hardware or content pipelines.

Articles
Living with 4K (Part 3) - Which 4K ... DCI 4K, Ultra-HDTV, Ultra-HD, Quad-Full-HD?

Living with 4K (Part 3) - Which 4K ... DCI 4K, Ultra-HDTV, Ultra-HD, Quad-Full-HD?

The Sony VPL-VW1000ES home cinema projector ($25,000 MSRP) uses a true DCI 4K chip with 4096x2160 pixels (17:9 aspect ratio), distinguishing it from consumer Ultra-HDTV panels that offer only 3840x2160 (3.75K by binary measure). Standards bodies including DCI, EBU, ITU, and CEA each define 4K and Ultra-HD differently, creating a fragmented naming landscape that affects how buyers interpret product specifications. Understanding these distinctions matters practically when choosing between a cinema-grade projector and a 16:9 Ultra-HD panel for home use.

Articles
Living with 4K: 4K Content, when? (Part 2)

Living with 4K: 4K Content, when? (Part 2)

Sony's 4K SXRD projector, featuring a 4096x2160 native chip and proprietary Reality Creation upscaling, can deliver a compelling viewing experience even before dedicated 4K content becomes widely available, by intelligently interpolating 1080p Blu-ray sources to near-4K quality. The pending H.265/HEVC standard, promising 50% greater compression efficiency over H.264, is expected to unlock practical 4K distribution and pre-recorded media in the near term. For early adopters, the projector's ability to accept native 4K input, support 12-bit color, and render full 4K resolution per eye in 3D mode makes it a forward-compatible investment worth considering now.

Articles
Living with 4K: Getting the Beautiful Monster (Part 1)

Living with 4K: Getting the Beautiful Monster (Part 1)

Sony's VPL-VW1000ES consumer 4K projector delivers 2000 lumens and supports up to 300-inch screens at roughly a quarter of the $80,000 price of its 2005 SRX-R110 predecessor, making true 4096x2160 projection accessible to home theater enthusiasts for the first time. The UHDTV standard encompasses both 4K and 8K resolutions, with 4K offering approximately four times the pixel density of 1080p HD and 8K projecting 16 times the detail. Viewers considering the investment should understand that optimal results require correct viewing distance and native 4K source material, though the display itself delivers meaningful improvements even with upscaled content.

Articles
Review: Dish Network Hopper

Review: Dish Network Hopper

The Dish Network Hopper whole-house DVR system delivers impressive functionality, including 3 tuners supporting up to 6 simultaneous HD recordings and a 2TB hard drive, but its HD image quality consistently tested softer than a comparable cable feed, estimated at roughly 80% of its potential detail. The reviewer found that connecting a Darblet video processor at approximately 50% processing strength brought perceived image quality close to or above the cable reference, while 4K upscaling via a Sony projector with Reality Creation provided additional improvement. Prospective subscribers with large displays or critical viewing standards should weigh this image quality trade-off against the Hopper's substantial feature advantages and lower cost.

Reviews

A Relative Twist to TV Calibration

Professional TV calibration costs ranging from $250 to $900 are increasingly difficult to justify as panel prices fall, raising the question of whether consumers should bear the full cost of achieving a display standard the manufacturer was supposed to meet at the factory. The author distinguishes between calibrating to a grayscale and gamma standard (a manufacturer responsibility) versus adapting image settings to a specific viewing environment such as a bright room or dark home theater. As TV prices drop toward or below calibration costs, the traditional 10% cost ratio that once made sense on an $8,000 Pioneer Elite no longer holds, pushing many buyers toward upgrading hardware rather than calibrating existing sets.

Articles

How Much for an OLED?

LG has confirmed a $10,000 price point for its 55-inch OLED TV, while Samsung's set is positioned at approximately $9,000, both targeting a 2012 launch. LG faces manufacturing challenges with oxide backplane stability, a problem Samsung has reportedly resolved, and Samsung has also claimed its blue sub-pixel organic material can reach an estimated 50,000 hours to mid-life. Prospective buyers should weigh these pricing tiers against the absence of independent calibrated lab reviews and official longevity specifications before committing.

Articles
Does Your LCD Image Look the Same from an Angled View? (Part 3) - How the 3M Solution Applies to Your LCD

Does Your LCD Image Look the Same from an Angled View? (Part 3) - How the 3M Solution Applies to Your LCD

3M's optical film system, combining Light Distribution Films and a Reflective Polarizer (DBEF/APF families), addresses the longstanding LCD viewing angle limitation by recycling off-axis polarized light to broaden the output cone beyond the standard collimated beam. In a Q&A with 3M's Dr. David Lamb, key findings include an estimated 60-degree effective viewing angle improvement (120 degrees left-to-right) and a per-panel film cost on the order of $10, with potential system savings from reduced LED count or lower drive power. Consumers considering LCD sets should note that this technology is already deployed in high-end locally dimmed panels from major brands, though cross-talk effects on dynamic contrast ratio remain unquantified.

Articles
Does your LCD image look the same from an angled view? (Part 2 - The 3M Solution)

Does your LCD image look the same from an angled view? (Part 2 - The 3M Solution)

LCD panels suffer measurable color, brightness, and contrast degradation at off-axis viewing angles, a limitation that becomes more apparent after calibration away from the high-output torch mode used in retail displays. 3M physicist Dr. Dave Lamb demonstrated at CES 2012 how the company's Reflective Polarizer films, including the DBEF and APF product families, redirect wide-angle light through backlight recycling to enhance both axial and off-axis luminance simultaneously. For households where viewers sit at angles beyond 20 degrees from center, this technology offers a practical path to more consistent image quality without requiring panel-level redesign.

Articles

Does Your LCD Image Look the Same from an Angled View? (Part 1 - The Concept)

LCD panels suffer measurable color, brightness, and contrast degradation at viewing angles beyond 20 degrees off-center, despite manufacturer claims of 170-plus degree viewing capability - a gap that becomes especially apparent after calibrating sets away from the high-output torch mode used on retail floors. A 3M-commissioned study of nearly 600 consumers found that 84 percent view their TVs from multiple angles, yet 44 percent were initially unaware of quality differences until shown a side-by-side comparison. Understanding this limitation before purchase - by asking dealers to calibrate sets to home-viewing levels and testing from your actual seating angles - can prevent a costly mismatch between showroom impressions and real-world performance.

Articles
Who Wants to Copy Whom Regarding OLED?

Who Wants to Copy Whom Regarding OLED?

LG's White OLED (WOLED) design uses organic white emitters with color filters in a transmissive-style configuration, contrasting sharply with Samsung's RGB OLED sub-pixels that emit colored light directly without filters, a true emissive approach comparable to plasma phosphor technology. An anonymous LG executive claimed Samsung was abandoning its RGB OLED design in favor of WOLED for manufacturing scalability, a claim Samsung declined to confirm or deny. Separately, Korean police investigated 10 LG Display employees, former Samsung Mobile Display staff, for allegedly leaking AMOLED intellectual property, raising pointed questions about competitive practices ahead of both companies' planned 55-inch OLED TV launches.

Articles
CES (Consumer Electronics Show) 2012 on the Hill, And the Digital Patriots Honoring Dinner

CES (Consumer Electronics Show) 2012 on the Hill, And the Digital Patriots Honoring Dinner

The 2012 CES on the Hill event at the Rayburn House Office Building showcased select consumer electronics innovations for Washington policymakers, including LG's passive 3D LCD TV, DISH Network's Hopper whole-house DVR, and a notable H.265 versus H.264 MPEG-4 compression comparison demo by Qualcomm. The Open Mobile Video Coalition demonstrated mobile TV delivery requiring only a few Kbps from the 19 Mbps typically needed for an HDTV signal within a 6 MHz channel, while H.265 was highlighted as a potential enabler of 4K Blu-ray on existing disc formats. For industry professionals, the event offered a rare convergence of technology demonstrations and direct access to legislators shaping broadcast spectrum policy.

Articles
Who Has a Better OLED?

Who Has a Better OLED?

Samsung's 55-inch Super OLED and LG's 55-inch White OLED (WOLED) debuted at CES 2012 with fundamentally different architectures: Samsung uses true RGB emissive OLED with active-shutter 3D at full 1080p per eye, while LG uses white OLED sub-pixels behind RGB color filters with passive FPR 3D at half resolution per eye. Samsung addressed the historically weak blue sub-pixel by doubling its longevity to 50,000 hours, a critical reliability milestone. Both panels delivered stunning images, but production units priced between $5,000 and $10,000 will require independent calibration and objective measurement before a definitive quality verdict is possible.

Articles

Is CES Worth Attending Anymore?

A veteran HDTV press attendee with 15 years of CES experience critically examines whether the 153,000-person Las Vegas show still serves serious technology evaluation, citing specific image quality issues observed across OLED, 4K, and 8K displays - including color over-saturation, bleeding edges, and a Sony logo rendering as pink. Six days and 80-plus exhibitor meetings revealed that crowd conditions and inconsistent viewing angles made objective comparative judgment of competing OLED panels nearly impossible. The author suggests CEDIA, with roughly one-sixth the attendance, may offer a more productive alternative for professionals needing rigorous display assessment.

Articles
Perception of Passive 3DTV - A No-Brainer Analogy

Perception of Passive 3DTV - A No-Brainer Analogy

Passive polarized 3DTVs, including LG's Frame Patterned Retarder (FPR) system, deliver only 540 horizontal lines per eye rather than the full 1080p resolution of 3D Blu-ray, while LG's dual 120Hz cycle approach attempts to compensate through a method the author argues introduces reverse-polarity artifacts. LG recommends a 15-foot viewing distance for their 60-inch passive 3DTV to mask FPR grid artifacts, nearly double the conventional 3x-image-height guideline of 7-8 feet. Buyers weighing active-shutter versus passive systems face a real trade-off between per-eye resolution integrity and the practical cost advantage of inexpensive polarized glasses for multiple viewers.

Articles
Hi-End Audio Legend McIntosh Labs Meets HDTV Magazine on the East Coast

Hi-End Audio Legend McIntosh Labs Meets HDTV Magazine on the East Coast

McIntosh Labs, the American audio manufacturer founded in 1949 and known for its Unity Coupled Circuit design and iconic blue-metered displays, hosted an Experience Center event in Fairfax, VA, drawing a notably young and diverse crowd. The MC275 50th anniversary limited-edition vacuum tube amplifier, limited to 275 units, exemplifies the brand's continued commitment to triode technology, which audiophiles have long favored for its superior harmonic distortion profile compared to early transistor designs. For buyers navigating hi-end audio investments, the piece raises pointed questions about upgrade costs, HDMI compatibility, and codec support in premium preamps priced well above mass-market AV receivers.

Articles
Would you prefer ugly 3D glasses or ugly 3DTV images? Maybe neither.

Would you prefer ugly 3D glasses or ugly 3DTV images? Maybe neither.

Active-shutter and passive polarized 3DTV technologies differ fundamentally in how they deliver stereoscopic images: active-shutter alternates two full-resolution frames time-sequentially, while passive Film-Patterned Retarder (FPR) displays interleaved half-resolution lines per eye, with LG's variant inverting line-pairs on every second 120Hz cycle. This means passive FPR viewers never receive a complete 1080-line image to either eye, and LG's implementation introduces upside-down content artifacts that distort real scene geometry. For buyers, the cheaper and lighter passive glasses come at a measurable image-quality cost that warrants hands-on evaluation before purchase.

Articles
Passive 3DTV Brain Perception - An Excuse for Technical Limitations?

Passive 3DTV Brain Perception - An Excuse for Technical Limitations?

Passive 3DTV technology from LG delivers only 540 lines of vertical resolution per eye, rendering each eye half the resolution of a 3D Blu-ray source, while active-shutter displays preserve full 1080p per eye. LG's consumer tests in retail centers prioritize viewer perception over measurable image quality metrics, sidestepping established Imaging Science calibration standards used to evaluate HDTV fidelity. For buyers seeking accurate reproduction of native dual-1080p 3D content, this resolution trade-off represents a permanent hardware limitation that no firmware update can correct.

Articles
3D World Conference 2011 in NYC: Are you ready for 4K? How about 3D in 4K?

3D World Conference 2011 in NYC: Are you ready for 4K? How about 3D in 4K?

Coverage from the 3D World conference at CCW 2011 examines the emerging 4K display ecosystem, where Sony's VPL-VW1000ES projector offers true 4096x2160 Digital Cinema Initiative resolution for under $25K while JVC's competing lineup uses e-Shift optical processing to simulate 4K precision from a native 1080p DiLA chip. A key panel finding suggests 4K distribution may require only 5% more bandwidth than HDTV using MPEG-2, and 4K source material downconverted to HD outperforms native HD acquisition. For home theater enthusiasts, the convergence of 4K and passive 3D technology could finally deliver true 1080p per eye without active-shutter glasses.

Articles
LG's Passive-Polarized-Glasses 3DTV - Where is my Pixel?

LG's Passive-Polarized-Glasses 3DTV - Where is my Pixel?

LG's passive polarized 3DTV uses two sequential 120Hz cycles to claim full 1080p resolution per eye, but each cycle only delivers 540 lines through fixed Film-Patterned-Retarder polarization, and the second cycle displays adjacent video lines in inverted vertical order. The panel's 5ms pixel response time operates within an 8.33ms frame window, yet the effective 3D refresh rate is limited to 60Hz since two cycles are required to present all picture data. In practice, this means neither eye can simultaneously view all 1080 lines, and the line-inversion artifact introduces potential image quality concerns that active-shutter technology avoids by delivering full-resolution, correctly ordered frames per eye.

Articles
Typical Passive 3DTVs - Displaying and Perceiving 3D Images

Typical Passive 3DTVs - Displaying and Perceiving 3D Images

Passive 3DTVs interleave alternating lines from left and right camera images, each captured at 1920x1080 pixels with a 65 mm inter-camera separation matching average adult eye distance, resulting in each eye receiving only half the vertical resolution. Active-shutter displays, by contrast, alternate full 1920x1080p frames per eye using synchronized LCD glasses, preserving per-eye pixel integrity at the cost of simultaneity. Understanding this line-interleaving trade-off helps viewers evaluate real-world sharpness and depth accuracy differences between passive and active 3DTV systems.

Articles

Displaying 3DTV Images - What is Wrong with this Picture

Passive 3DTVs interleave left- and right-eye image lines, discarding half the original resolution per eye, while LG's variant attempts to recover those discarded pixels by overlapping them at the same pixel positions 120 times per second across a full 1920x1080 frame. Active-shutter displays avoid this compromise by rendering both eye images at full resolution in sequential frames. For viewers prioritizing image quality, the cognitive load of reconstructing interleaved pixel structures, compounded by LCD pixel-response-time blur, may outweigh the cost savings of passive glasses.

Articles
3DTV - The Battle of Passive vs. Active Methods

3DTV - The Battle of Passive vs. Active Methods

The passive vs. active-shutter 3DTV debate centers on a fundamental resolution trade-off: passive polarized displays use a film-patterned retarder to split images into fixed 540-line interleaved rows per eye, while active-shutter glasses deliver full 1080p resolution per eye at higher cost. LG's passive implementation attempts to address this by cycling at 120Hz to overlap pixel data from both half-resolution frames, though this overlapping method raises legitimate image quality concerns that only calibrated lab testing could fully resolve. For consumers, the choice involves weighing affordable glasses and reduced eye strain against measurable resolution loss and potential ghosting within 6 feet of the screen.

Articles

Streaming Inflation

Streaming video at 2-5 Mbps versus Blu-ray's 30+ Mbps transfer rate represents a significant quality gap that becomes apparent on large screens at proper viewing distances, particularly given that many streaming services deliver lossy stereo audio rather than lossless formats. A key technical nuance often overlooked is that 720p/60fps actually requires 12% more bandwidth than 1080p/24fps (55M vs. 49M pixels per second), making frame rate as critical as resolution when evaluating format efficiency. For viewers prioritizing convenience on small screens or at extended viewing distances, streaming serves as a practical alternative, but those with large displays and quality-focused setups will find the compression trade-offs difficult to ignore.

Articles
Auto-Stereoscopic 3DTV (Glasses-Free) - One Company's "picture perfect" Solution, How Does it Work?

Auto-Stereoscopic 3DTV (Glasses-Free) - One Company's "picture perfect" Solution, How Does it Work?

3DFusion's 42-inch auto-stereoscopic 3DTV panel uses real-time 2D-plus-depth mapping, re-rendering depth maps 30 times per second to deliver glasses-free 3D from any source, including side-by-side DirecTV or Blu-ray signals. Unlike competing approaches that rely on image stitching for multi-view output, 3DFusion's proprietary server software converts incoming 3D signals into stereoscopic depth-map encoded streams on the fly, enabling adjustable depth intensity similar to a volume control. This means viewers can reduce eye strain during extended viewing sessions while the platform remains compatible with active, passive, and auto-stereoscopic displays from any manufacturer.

Articles
Auto-Stereoscopic 3DTV (Glasses-Free) - Who Made it Work Right - and Now

Auto-Stereoscopic 3DTV (Glasses-Free) - Who Made it Work Right - and Now

3DFusion's 42-inch auto-stereoscopic LCD panel, built on a lenticular lens design licensed from Philips after a roughly half-billion-dollar R&D investment, stood out at CES 2011 by allowing viewers to move freely side-to-side without losing the 3D effect - a persistent weakness in competing prototypes from Sony and Toshiba that required viewers to stand on marked floor positions. The company's proprietary 3DFMax software engine smooths transitions between viewing zones, addressing ghosting and sweet-spot problems that plagued the original Philips design. For consumers, this means glasses-free 3D viewing closer to the natural experience of a standard flat-panel TV rather than a constrained, position-dependent demo.

Articles

3D Technology Damaging HD Viewing

Passive polarized 3DTVs incorporate a fixed polarization layer over the primary LCD panel to enable cheap glasses-based 3D, but this added material remains in the light path during standard HD viewing and cannot be removed, potentially degrading 2D image quality. Recent reports from commercial theaters revealed that 3D projection filters left in place during 2D screenings reduced light output by at least 50%, producing visibly substandard presentations. Consumers considering passive polarized displays should understand that unlike active-shutter systems, which deliver full resolution per eye and impose no optical compromise during 2D viewing, passive sets offer no user control over what remains between the light source and the viewer.

Articles
CES (Consumer Electronics Show) 2011 at the Hill, and the Digital Patriots Event - Who can actually use more innovation?

CES (Consumer Electronics Show) 2011 at the Hill, and the Digital Patriots Event - Who can actually use more innovation?

CES 2011 drew 149,000+ attendees from 140 countries across 1.6 million net square feet of exhibit space, showcasing an estimated 20,000 new products from over 2,700 exhibiting companies. The Digital Patriots dinner honored Dr. Robert E. Kahn, co-founder of the TCP/IP protocol, alongside legislators recognized for advancing consumer electronics innovation. For industry stakeholders, the event underscored how policy alignment with technology development, including contested issues like FCC broadcast spectrum reallocation, directly shapes the competitive landscape.

Articles
CES (Consumer Electronics Show) 2011 at the Hill, and the Digital Patriots Event - Is Government actually listening to what Innovation can do?

CES (Consumer Electronics Show) 2011 at the Hill, and the Digital Patriots Event - Is Government actually listening to what Innovation can do?

The 2011 International CES drew 149,529 attendees across 1.6 million net square feet of exhibit space, with international attendance up 30 percent year-over-year to set a record in the show's 45-year history. A curated CES at the Hill event brought key product introductions - including 3DTV systems from Sony, Panasonic, and Samsung alongside Google TV and RCA's portable ATSC and Mobile DTV devices - directly to Congress members in Washington D.C. For policymakers and industry professionals alike, the event offered a focused look at the consumer technologies most likely to shape regulatory and business decisions in the near term.

Articles
3DTV Going South

3DTV Going South

A field report from Buenos Aires finds Samsung 46-inch LCD/LED 3DTVs (model UN46C7000) retailing at roughly three times U.S. prices, with active-shutter glasses unavailable separately at retail. Argentina's ISDB-T terrestrial broadcast standard remains in testing, creating an unusual market where 1080p Blu-ray and 3D content are commercially available before over-the-air HDTV is fully operational. Consumers face compounding risks from undertrained sales staff and passive 3DTV sets that deliver only half-resolution per eye, dropping to 25% of original resolution with side-by-side content.

Articles
True 3D Standardization

True 3D Standardization

Active-shutter 3D glasses standardization efforts from CEA, XPAND 3D, Panasonic, and Monster address synchronization protocols but overlook a critical technical gap: proprietary lens tints are color-matched to specific manufacturer 3DTV calibrations, meaning neutral-tint standard glasses require TVs to be recalibrated or ISF-calibrated at additional consumer cost. Backward compatibility with existing proprietary glasses remains unresolved, as recalibrating a 3DTV to match neutral-tint standard glasses would render previously purchased proprietary glasses mismatched. Consumers considering a 3DTV purchase should wait until manufacturers commit to factory color calibration aligned with a single neutral-tint standard before investing in universal glasses.

Articles

3DTV Over-the-air Broadcasting in a Bind

Over-the-air 3DTV broadcasting faces a fundamental bandwidth constraint within the existing 6 MHz ATSC channel allocation, forcing broadcasters to choose between frame-compatible formats (side-by-side or top-bottom) that halve per-eye resolution and leave no room for a simultaneous 2D signal. With roughly 260 million DTVs projected by end of 2012 versus only a few million 3DTVs sold, abandoning 2D viewers is impractical, yet compressing both signals into a single channel risks degrading quality for both formats. The service-compatible 2D-plus-Delta approach, favored by European broadcasters for its full-resolution 2D backward compatibility, remains a viable but so far overlooked alternative in U.S. ATSC planning.

Articles
Is 3DTV a Replacement of Digital Television? Would 2D Viewing be affected?

Is 3DTV a Replacement of Digital Television? Would 2D Viewing be affected?

Early 3DTV implementations, including passive LCD panels with pattern retarder films and auto-stereoscopic displays, introduce hardware and processing layers that can degrade everyday 2D HDTV image quality in ways that casual retail viewing rarely reveals. Passive 3D technologies halve per-eye resolution during 3D playback, while broadcast 3D signals rely on frame-compatible formats like side-by-side or top-bottom that further reduce quality compared to lossless Blu-ray codecs such as DTS Master Audio. Consumers evaluating a 3DTV purchase should scrutinize independent reviews and account for hidden costs, including the potential need for dual projection screens or external scalers, before committing to a system that may compromise the 2D performance they will use most.

Articles
3DTV Technologies - Which one for you?

3DTV Technologies - Which one for you?

3DTV adoption hinges on a fragmented technology landscape spanning active-shutter glasses at full 1080p resolution per eye, passive polarized panels at half-resolution, and glasses-free auto-stereoscopic displays with viewing zone constraints. Health concerns including crosstalk, flicker, and eye fatigue affect an estimated 5 to 20 percent of viewers, prompting LG Display to discontinue active-shutter production in favor of pattern-retarder passive panels. For consumers, the coexistence of these competing technologies is not a liability but a practical necessity, enabling individuals to match display choice to their specific visual tolerance, budget, and viewing environment.

Articles

3DTV - Are Competing Technologies Necessary? Including Auto-stereoscopic?

The 3DTV market in 2011 presents consumers with competing display technologies - active-shutter, passive polarized (FPR at half resolution), and auto-stereoscopic glasses-free - each with distinct trade-offs in resolution, flicker sensitivity, cost, and usability. Drawing a parallel to HDTV's fragmented introduction in 1998, which saw simultaneous 480p, 720p, and 1080p formats coexist across DLP, LCD, plasma, and LCoS panels, the case is made that parallel 3DTV technologies serve different visual tolerances and budgets rather than creating harmful confusion. Retail education, not technology consolidation, is the critical factor in helping consumers identify the right 3DTV solution for their specific viewing environment and physiological needs.

Articles
Glasses-Free (Auto-stereoscopic) 3DTV - When?

Glasses-Free (Auto-stereoscopic) 3DTV - When?

Auto-stereoscopic (glasses-free) 3DTV technology faces criticism over limited viewing zones, low per-eye resolution, and positional 3D disruption, but 3DFusion's CES 2011 demo challenged that narrative with a proprietary software engine that makes zone transitions nearly imperceptible. Their roadmap targets 17 viewing zones, per-eye resolution beyond 900x500 pixels, and panel resolution 1.5 times current 1080p in screen sizes exceeding 40 inches. For consumers willing to pay a premium, viable glasses-free 3DTV may arrive sooner than the decade-long timeline critics suggest.

Articles
Glasses-Free 3D at CES 2011 - Improving, but no Cigar, Except for the Queen of CES

Glasses-Free 3D at CES 2011 - Improving, but no Cigar, Except for the Queen of CES

Auto-stereoscopic (glasses-free) 3D displays were a key technical battleground at CES 2011, with Sony's 56-inch 4K and Toshiba's LCD prototypes showing visible disruption when viewers shifted position between viewing zones. 3DFusion's 42-inch LCD demo, using a lenticular screen and proprietary real-time software, delivered 9 viewing zones at approximately 900x500 pixels per zone via sub-pixel sharing from a 1920x1080 panel, with nearly imperceptible zone-transition breaks at wide lateral angles. For consumers weighing glasses-free options, 3DFusion's per-eye pixel count is comparable to side-by-side 3D broadcast on passive-glasses displays, making the glasses-free trade-off more competitive than it first appears.

Articles
Avatar - Why not a CinemaScope Option on Blu-ray?

Avatar - Why not a CinemaScope Option on Blu-ray?

Avatar was filmed natively in 16:9 and a CinemaScope (2.39:1) version was dynamically extracted by James Cameron for theatrical release, yet the Blu-ray disc was issued only in 16:9, leaving CinemaScope home-theater owners unable to replicate the theatrical experience. A static center-crop from the 16:9 disc fails to match the director's dynamic vertical pan extraction, producing over-cropped close-ups and misplaced subtitles on anamorphic lens setups. The omission directly affects a growing segment of home-theater enthusiasts who invested in projectors and anamorphic lenses specifically to reproduce the wider CinemaScope presentation.

Articles
3D World 2010 Conference in NYC

3D World 2010 Conference in NYC

The 3D World 2010 Conference in New York City showcased professional 3D production workflows, with demonstrations using a Sony 4K projector delivering dual 1080p interleaved images viewed through RealD polarized glasses. A notable Avatar 3D trailer screening revealed a CinemaScope crop applied to a native 16:9 source, contradicting James Cameron's stated preference for preserving full image height, while CBS Sports' US Open 3D demo exhibited motion artifacts likely tied to pixel-splitting between interleaved stereo views. Attendees also spotted an LG passive-glasses LCD panel of approximately 50 inches, hinting at a broader shift toward passive 3D display designs ahead of CES 2011.

Articles
Auto-stereoscopic 3DTV (3D Without Glasses) - What else to lose for Stereoscopic 3D? (Part 3)

Auto-stereoscopic 3DTV (3D Without Glasses) - What else to lose for Stereoscopic 3D? (Part 3)

Passive polarized LCD 3DTVs operating in top-bottom x-pol mode face a compounding resolution problem: cable and satellite providers already discard 50% of horizontal pixels when encoding side-by-side frame-compatible 3D, and the TV then downscales the 1080 vertical lines to 540 to match its interleaved display method, resulting in a combined 75% loss of the original camera-recorded resolution per eye. Active-shutter systems avoid the vertical downscale by upconverting both half-frames to full 1920x1080 via interpolation, but introduce brightness reduction and potential flicker. Viewers choosing between passive and active 3DTV systems, or between cable 3D and 3D Blu-ray, face real trade-offs in perceived sharpness and light output that no amount of brain compensation fully resolves.

Articles
DTV Around the World - Argentina's DTV System - Technical Aspects (Part 4)

DTV Around the World - Argentina's DTV System - Technical Aspects (Part 4)

Argentina's ISDB-T digital terrestrial television system uses MPEG-4 AVC (H.264) video coding and HE-AAC audio, with a segmented OFDM scheme that divides the 6 MHz channel into 13 active segments plus a dedicated 1-seg center segment for mobile reception at up to 430 kbps via QPSK. HD 1080i/50 transmission requires 8 segments at approximately 12 Mbps, while 64QAM yields roughly 1.5 Mbps per segment, enabling flexible multiprogramming configurations. Broadcasters and consumers need to account for audio decoding compatibility, as Argentina's AAC standard differs from the Dolby Digital found in most home receivers.

Articles
DTV Around the World - How ISDB-T is being Implemented as DTV in Argentina (Part 3)

DTV Around the World - How ISDB-T is being Implemented as DTV in Argentina (Part 3)

Argentina's ISDB-T digital terrestrial television rollout is underway, with Canal 7 broadcasting on digital channel 23 (527MHz) via a 10kW NEC transmitter covering Buenos Aires up to 30 kilometers, carrying a Transport Stream totaling 18.3Mbps that includes one HD subchannel at 8.8Mbps, two SD subchannels at 3Mbps each, and a 1-seg mobile stream at 340Kbps. Free-distribution set-top boxes include HDMI and component outputs for HD, RCA analog output for legacy sets, plus USB and Ethernet ports with Ginga NCL middleware for future interactivity. Viewers with recently purchased LCD panels will require an external STB, as those displays lack ISDB-T tuners, and some older LCDs cannot handle 1080i/50 HD signals currently being transmitted.

Articles
DTV Around the World - Why Argentina Selected ISDB-T after Testing US's ATSC (Part 2)

DTV Around the World - Why Argentina Selected ISDB-T after Testing US's ATSC (Part 2)

Argentina's digital television transition centers on the ISDB-Tb standard (the Brazilian adaptation of Japan's ISDB-T), formally adopted by Decree 1148 in August 2009, replacing an earlier 1998 commitment to ATSC. A standard 6 MHz channel under ISDB-Tb supports simultaneous HD, SD, and mobile-portable signals, with four reserved UHF channels (22-25) and an AMC6 satellite transponder used to distribute signals to 47 regional transmitters nationwide. Over one million subsidized set-top boxes are planned for low-income households, while cable operators currently encrypt all digital signals using QAM, preventing clear-tuner access on existing DTV sets.

Articles
Auto-stereoscopic 3DTV (3D Without Glasses) - Going Backwards in Image Quality for the sake of Depth? (Part 2)

Auto-stereoscopic 3DTV (3D Without Glasses) - Going Backwards in Image Quality for the sake of Depth? (Part 2)

Auto-stereoscopic and glasses-based 3DTV technologies both impose measurable penalties on image quality, including resolution splits that reduce a 1920x1080 panel to as little as 426x341 pixels per view across 9 viewing zones, and luminance losses that mirror the one-third brightness drop documented in commercial theaters. Research from the University of Durham further quantifies the depth reproduction gap, noting that human vision resolves approximately 240 planes of perceived depth while current 3D displays manage only 20 to 31 stereoscopic voxels. Viewers evaluating large-screen 1080p sets should weigh these concrete trade-offs before committing to a fixed multi-zone auto-stereoscopic design.

Articles
Auto-stereoscopic 3DTV (3D Without Glasses) - Display Taiwan 2010 Hinted: "Sooner than you think" (Part 1)

Auto-stereoscopic 3DTV (3D Without Glasses) - Display Taiwan 2010 Hinted: "Sooner than you think" (Part 1)

AU Optronics (AUO) demonstrated a 65-inch auto-stereoscopic LCD panel at Display Taiwan 2010 featuring electronically adjustable parallax barriers that dynamically detect viewer count and redistribute panel resolution accordingly, targeting better than 50% resolution retention per viewer when a second person joins. The company also previewed a 3840-pixel-wide panel concept designed to deliver full 1920x1080 per-eye resolution to a single glasses-free viewer. These developments suggest that no-glasses 3DTV for home use may reach consumers faster than the industry-estimated 10-plus years, though resolution trade-offs across multiple viewing zones remain a core engineering challenge.

Articles
DTV Around the World - The US DTV System, Not so Popular Around the World (Part 1)

DTV Around the World - The US DTV System, Not so Popular Around the World (Part 1)

Global adoption of digital terrestrial television standards reveals a fragmented landscape, with ATSC (launched in the US in 1998 using MPEG-2 compression) competing against DVB-T and ISDB-T across dozens of countries. Key differentiators include ISDB-T's segmented OFDM transmission enabling HDTV mobile reception, a capability ATSC lacked until 2009, while China pursues its own DMB-T/H standard targeting 380 million TV households by a 2015 analog cutoff. Standard selection is driven by a mix of political trade agreements, intellectual property royalty costs, and receiver affordability rather than purely technical merit.

Articles

3D TV at CES 2010 - Was it Actually Like HD a Decade Ago? (Part 4)

3D TV adoption faces significant hurdles compared to the HDTV transition of a decade ago, including reduced light output, compromised resolution when distributed over legacy HD infrastructure not designed for 3D signals, and the burden of wearing active or passive glasses for typical 4-plus hours of daily viewing. Unlike Blu-ray 3D, service provider delivery degrades both resolution and image quality, making side-by-side comparisons with native 2D content unfavorable. Consumers considering the upgrade should weigh delta cost, verify that 2D performance is not compromised, and treat 3D as an occasional feature rather than a wholesale replacement for standard HDTV viewing.

Articles

3D TV at CES 2010 - Was it Actually Like HD a Decade Ago? (Part 2)

3D TV at CES 2010 introduced at least seven distinct signal structures, including frame packing, full and half side-by-side, and field alternative formats, echoing the 18-format complexity of the original ATSC DTV standard. HDMI 1.4, introduced in mid-2009, provides 3D interoperability protocols that allow firmware upgrades to legacy devices and reuse of existing 1080p wiring, a significant infrastructure advantage over HD's analog-only component connectivity in 1998. However, measured light loss of 41 to 88 percent through 3D glasses and the distribution of frame-compatible half-resolution signals raise practical questions about whether real-world 3D home viewing can match the perceived quality gains that drove HD adoption.

Articles

The End of High Definition Broadcasting

The FCC's national broadband plan, due in February 2010, is exploring the reallocation of broadcast spectrum to meet surging wireless data demand, a move that could directly threaten over-the-air HDTV service delivered within the existing 6MHz channel bandwidth. Broadcasters, including Fox, have pushed back by citing planned mobile DTV deployments and HD multicast services that depend on retaining their full spectrum allocation. For the more than 110 million DTV sets sold since 1998, many with FCC-mandated integrated tuners, any reduction in available broadcast bandwidth risks degrading the HD quality that drove consumer investment in the first place.

Articles

2010 International Consumers Electronics Show (CES) - New York Press Preview

The CEA's New York press preview for the 2010 International CES highlighted 3D TV as the dominant trend, with over 4 million 3D TV units forecasted to ship in 2010 and the JVC LCoS projector DLA-HD990 ($10K MSRP) receiving an Innovation Honoree award. Panasonic was expected to debut a 3D Blu-ray player delivering full 1080p dual HD images alongside a new 3D plasma panel, while JVC planned a 4K projector demo for stereoscopic 3D. The absence of a finalized 3D display and distribution standard raised practical concerns about premature consumer adoption and potential format-war pitfalls.

Articles

High Definition Content Distribution in the US (Part 3) - Pre-recorded HD Media Distribution, and Conclusion

Pre-recorded HD content evolved from D-VHS tapes played at 1080i with MPEG-2 compression and bit rates exceeding broadcast HD's 19.4 Mbps, through competing blue-laser formats, before Blu-ray secured market dominance in January 2008 by offering 1080p, 24fps playback, and uncompressed multi-channel audio codecs. Content protection disputes hampered earlier formats including D-VHS, where JVC's proprietary D-Theater system was incompatible with Mitsubishi hardware. For consumers, Blu-ray's victory means a maturing ecosystem with declining player and disc prices, though over-compressed cable and satellite delivery risks widening the quality gap versus physical media.

Articles

High Definition Content Distribution in the US (Part 2) - The Quality Factors of HDTV Content Distribution

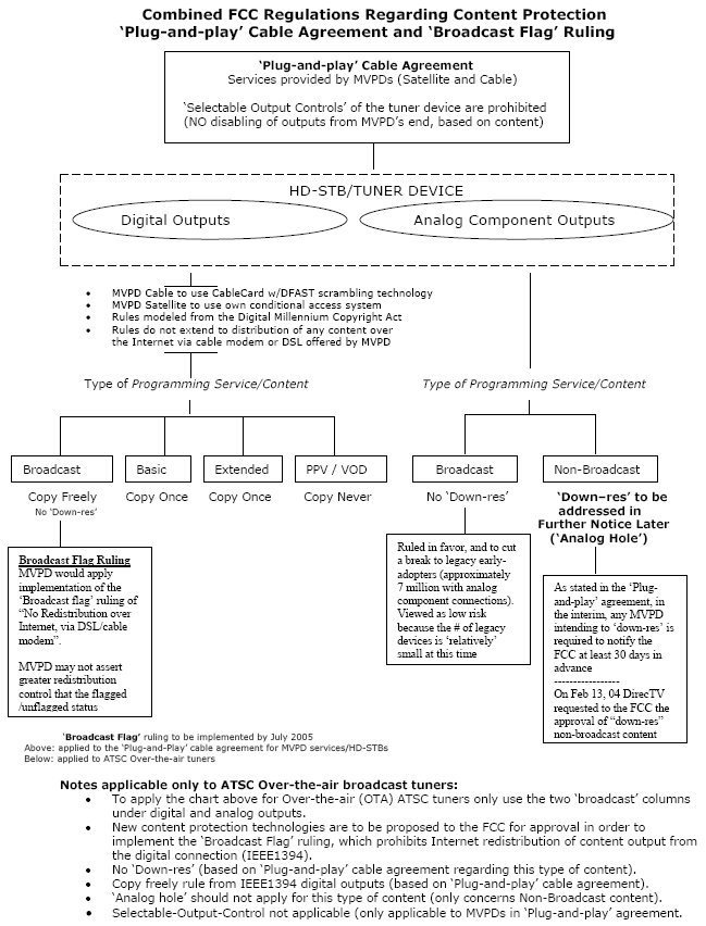
HDTV broadcast fits within a 6 MHz channel slot using MPEG-2 compression, delivering either 1080i at over 2 million pixels per frame or 720p at 60 frames per second, with 720p better suited for fast-moving sports content due to reduced interlacing artifacts. Cable, satellite, and telco providers routinely apply bit-starving techniques to maximize channel counts, while regulatory battles over Selected Output Controls and the Broadcast Flag have repeatedly threatened to artificially down-res HD signals on analog outputs. Viewers upgrading to larger screens are most likely to notice quality degradation from over-compression and multi-cast bandwidth sharing.

Articles

High Definition Content Distribution in the US (Part 1) - The Market for HD Content and Distribution Services

As of 2008, roughly 50 million US households qualified to receive HD content, yet the 230 million remaining analog TVs represented a market gap that could not close before 2014 at a sales pace of 35 million DTVs per year. Satellite providers leveraged MPEG-4 compression, claiming roughly 50% greater efficiency over MPEG-2, to expand HD channel counts beyond 100, while cable operators faced coaxial bandwidth constraints limiting comparable growth. Consumers evaluating HD distribution options must weigh the quality trade-offs between closed IPTV networks, which offer end-to-end signal control, and open Internet delivery methods such as streaming or P2P, where bandwidth limitations can force severe recompression of HD content.

Articles

Who Needs Content Protection?

The Advanced Access Content System (AACS) analog sunset provisions, finalized in June 2009, mandate that Blu-ray players manufactured after December 31, 2010 restrict analog video outputs to SD interlace modes only, with all analog video output prohibited after December 31, 2013 - directly threatening the 11 million HDTVs sold since 1998 that rely on component analog connections. The Image Constraint Token (ICT) compounds this by enabling content studios to down-convert 1080i/p source material to 480i, reducing pixel count from roughly 2 million to 338,000 per frame. For consumers and installers who have invested in component analog in-wall wiring for home theaters, these protection mechanisms impose costly retrofits with no corresponding improvement in picture or sound quality.

Articles

HD World Conference in NY - 3D, IP Online Video, and Mobile DTV

Coverage of the HD World Conference (October 2009) examines three converging technologies: Mobile DTV, approved that night by the ATSC at QVGA resolution (416x240) with a 2Mbps total bandwidth budget, IP online video projected to reach 22% of TV viewing by 2020, and home 3D displays that sacrifice roughly 50% of original 1080p resolution through side-by-side or line-interleaved compression schemes. Broadcast HD quality is further eroded as stations subdivide their 6MHz channel slots for SD multicasting and Mobile DTV, leaving the HD main channel well below its 19.4Mbps ceiling. Consumers considering early 3D HDTV purchases should weigh whether passive-display investments will remain compatible with higher-quality active-shutter 3D content from Blu-ray or future services.

Articles
DTV Transition - Can YOU Help? (Part 6) - Subsidy Set-Top-Boxes

DTV Transition - Can YOU Help? (Part 6) - Subsidy Set-Top-Boxes

The U.S. government's $1.5 billion DTV converter box coupon program offered up to two $40 coupons per household to fund ATSC-to-NTSC set-top boxes, with coupon-eligible units limited to 480i composite or RF output and a maximum 8-watt active power draw under proposed Energy Star guidelines. By late December 2008, roughly 44 million coupons had been requested against an initial allocation of 22.25 million, raising FCC concerns that funding could be exhausted before the February 17, 2009 analog shutoff. OTA viewers still relying on analog sets connected to antennas faced real risk of finding no coupons available if they delayed their requests.

Articles

DTV Transition - Can YOU Help? (Part 5) - Was Tuner Integration Timed Right?

The FCC's 2002 mandate requiring integrated ATSC and QAM tuners in DTVs shaped a transition that, by end of 2010, was projected to place 181.6 million integrated sets in U.S. homes, yet the uni-directional QAM implementation left cable subscribers unable to access VOD or PPV without leasing a separate bi-directional STB. Early integrated DTVs carried a $704 premium over tuner-less monitor versions, and tru2way bi-directional models announced for fall 2008 added another $300 over standard integrated counterparts. Consumers evaluating OTA, cable, satellite, or Telco reception face meaningfully different cost and equipment tradeoffs depending on which service they use.

Articles

2008 HDTV Buyers Guide, Part 4

A 2008 HDTV buyers guide segment covers system-level considerations including HDMI/DVI connectivity with HDCP content protection, CableCARD integration mandated by the FCC in 2002 (which added an estimated $704 to TV prices at the time), and HD-VHS archiving via IEEE 1394 FireWire. Practical guidance addresses matching audio sweet spots to viewing distances, the limitations of using a TV's built-in speakers as a center channel (handling roughly 60% of a movie soundtrack), and ISF calibration trade-offs. Readers planning a full home theater setup will benefit from understanding these interdependencies before committing to a screen size or connectivity configuration.

Articles

2008 HDTV Buyers Guide, Part 3

Purchasing a large-format HDTV requires understanding how legacy 480i NTSC sources, including VHS, DVD, and analog cable feeds (permitted by the FCC through 2012), will appear upscaled on screens sized 65 inches or larger, often revealing insufficient resolution and compression artifacts. Aspect ratio handling is equally critical, as 2.35:1 widescreen content still produces letterbox bars on a 16x9 (1.78:1) panel, and expansion modes vary widely by manufacturer, potentially cropping subtitles or on-screen graphics. Before buying, test sets in-store with fast-moving content at calibrated 6500 Kelvin color temperature to accurately assess real-world image quality across multiple source types.

Articles

2008 HDTV Buyers Guide, Part 2

Navigating an HDTV purchase in 2008 requires evaluating display technologies including DLP, Plasma, LCD, and LCoS alongside connectivity standards such as HDMI 1.3, DVI, and hi-bit audio formats like DTS-HD Master Audio and Dolby TrueHD. Viewing distance, room lighting, and the proportion of 480i 4x3 SD content versus true HD material all factor into selecting the right screen size and technology. Buyers who assess their upgrade habits and long-term cost of ownership can avoid overspending on future-proof features they may not need.

Articles

2008 HDTV Buyers Guide, Part 1

The 2008 HDTV Buyers Guide opens by explaining the 18-format ATSC DTV standard, which defines HD as 720p or 1080i/p at up to 1920x1080 pixels in a 16x9 aspect ratio, and SD as 480i/p at up to 704 pixels wide. A key practical concern is that HD broadcasters sharing their 19.4 Mbps, 6 MHz channel with SD sub-channels must compress the HD signal below acceptable thresholds, producing visible artifacts on large screens. Consumers navigating the February 2009 analog cutoff, government coupon programs for $50-$70 DTV tuners, and CableCARD compatibility issues will benefit from understanding these trade-offs before purchasing.

Articles

LCD Specs Playing with Your Eyes

LCD pixel response time (measured in milliseconds, gray-to-gray) and frame refresh rate are two distinct but interacting specifications that together determine motion clarity on flat-panel displays. A 4ms g-g response time is necessary but not sufficient to eliminate motion blur, because LCD sample-and-hold driving keeps each frame illuminated for the full 16ms cycle at 60Hz, a problem quantified by the MPRT metric rather than g-g alone. Techniques such as 120Hz driving with frame interpolation, black frame insertion, and backlight flashing each carry trade-offs in artifacts and light output that buyers should weigh carefully.

Articles

FCC Prohibits Exclusivity

The FCC's October 31, 2007 Report and Order (FCC 07-189) bans exclusivity clauses in contracts between MVPDs and multiple dwelling units, opening cable video markets to competition from rival cable operators and Telcos offering services like FiOS. The ruling coincides with accelerating HD channel expansion, including DirecTV's 150+ HD channel rollout and the industry-wide shift from MPEG-2 to MPEG-4 compression to double channel capacity. Residents in HOA communities may still owe basic tier fees under existing contracts, but can now pursue providers offering superior HD lineups, VOD, and IPTV delivery models.

Articles
IPTV Part 6 - More Implementations and Final Thoughts

IPTV Part 6 - More Implementations and Final Thoughts

This sixth and final installment of an IPTV series surveys hardware and service implementations from CES 2007 and beyond, including Sony's Bravia Internet Video Link (HDMI-connected, ad-supported streaming module), the TAVI 030 portable STB with 720p component output and 5.1 Toslink audio, and UTStarcom's UWB-based STB capable of over 500 MHz bandwidth for uncompressed HD streams. Verizon FiOS TV delivers live HDTV over a separate coax while routing VOD over IP via MPEG-4 compression, with server pre-loading taking 7-10 minutes per request. The comparison between these deployments illustrates how bandwidth constraints and infrastructure choices directly affect the subscriber experience with parallel HD viewing and VOD performance.

Articles
IPTV Part 5 - Additional Implementations

IPTV Part 5 - Additional Implementations

SaskTel's Max HD Ultimate IPTV service, launched in September 2006, delivers HD content via fiber-to-cabinet with two copper lines capped at 14 Mbps each, using Motorola's VIP1200 H.264 set-top box and Kasenna's MediaBase software. A critical architectural constraint limits the entire household to a single simultaneous HD channel, while VOD streams cannot be independently initiated for the same title across multiple STBs. For prospective subscribers weighing IPTV against cable or satellite, these parallel-viewing limitations and a post-promotional cost approaching $100 per month warrant careful consideration.

Articles
IPTV Part 4 - The Good, the Bad and the Ugly

IPTV Part 4 - The Good, the Bad and the Ugly

Early IPTV deployments by small telcos like Canby Telcom and Hancock Telecom reveal significant growing pains, including set-top box freezes caused by middleware incompatibilities with Amino Communications STBs and Minerva Networks software, while larger operators show more promise. AT&T's U-Verse triple-play service delivers 20-25 Mbps total bandwidth to the home, compressing HD streams to 8 Mbps using advanced encoding, enabling two simultaneous HD streams alongside VoIP and broadband. A proposed DOCSIS 3.0 IPTV Bypass Architecture (DIBA) offers a potential path for cable operators to handle peak node demand estimated at 2.8 Gbps for 750 homes.

Articles
IPTV Part 3 - The Methods and a Working Technology

IPTV Part 3 - The Methods and a Working Technology

MatrixStream's IPTV platform delivers HD content at 1080p using H.264/MPEG-4 Part 10 compression, reducing a standard 19 Mbps MPEG-2 HD stream to just 2.5 Mbps - within reach of typical DSL and cable-modem connections. The IMX 1020HD STB supports 720p, 1080i, and 1080p output over HDMI with HDCP, Dolby Digital 5.1 via optical output, and an 80GB HDD for DVR functionality. For households with multiple TVs or limited bandwidth, understanding these per-channel delivery constraints and compression trade-offs is essential before committing to any IPTV service.

Articles

IPTV Part 2 - The Groups, Forums and Statistics

IPTV adoption was projected to reach 48.8 million households worldwide by 2010, with subscriber counts expected to double in 2007 alone to 13.3 million and generate $13.2 billion in revenue, according to Gartner. The ITU established a dedicated IPTV focus group in April 2006, while major industry players including Ericsson, Sony, Samsung, and AT&T formed the Open IPTV Forum to develop a unified standard supporting IP Multimedia Subsystem (IMS) and DLNA. For consumers and carriers alike, the pace of standardization and infrastructure maturity would directly determine whether IPTV could deliver reliable service or suffer disruptive technical failures.

Articles
IPTV Part 1 - Read the Fine Print

IPTV Part 1 - Read the Fine Print

IPTV, which distributes TV signals as IP packets to devices ranging from handsets to home televisions, sits at the center of a heated industry debate over network readiness for HD delivery. BellSouth's Chief Architect estimated that HDTV over IP would consume over one terabyte per month per user, costing carriers $560 monthly to deliver, while hybrid fiber/copper networks like AT&T's Project Lightspeed are projected to reach only 40% of U.S. households at roughly 20 Mbps average downstream. Consumers evaluating IPTV services should scrutinize compression practices, bandwidth guarantees, and service terms carefully before switching from cable or satellite.

Articles

CinemaScope™ HDHT Part 4 - Budgeting for the Project

Building a CinemaScope home theater with a 2.35:1 anamorphic setup requires budgeting across nine distinct component categories, with a 130-inch diagonal screen, 1080p projector (DLP, LCoS, or LCD), anamorphic lens with motorized transport, and a dedicated video scaler performing vertical stretch interpolation forming the core of the system. Total video costs can range from roughly $16,500 to over $67,000 depending on technology choices, screen curvature, masking systems, and ISF calibration. Readers planning such a build will find this breakdown useful for setting realistic expectations before committing to professional installation.

Articles

Mobile DTV Reception - Advanced-Vestigial Side-Band (A-VSB) - Impact Analysis

A-VSB mobile DTV transmission risks further degrading terrestrial HDTV quality by diverting up to 7 Mbps from an already constrained 19.4 Mbps 6 MHz channel, a concern illustrated by WETA PBS, which has reduced its HD channel to roughly half its original bandwidth through multi-cast SD sub-channels. Samsung's characterization of this bandwidth loss as only 'a bit of challenge' is disputed, with real-world examples from cable and satellite showing noticeable quality degradation under similar compression. Consumers who invested in HD displays expecting full-quality HDTV could face diminishing returns if broadcasters prioritize revenue-driven multi-casting over signal integrity.

Articles

Mobile DTV Reception - Advanced-Vestigial Side-Band (A-VSB) - The Implementation

Advanced-Vestigial Side-Band (A-VSB) mobile DTV delivers 320x240 H.264-encoded video at roughly 500 kbps within a 6 MHz broadcast channel, with the SRS tracking subsystem consuming up to 2.89 Mbps and the turbo system at half-load still leaving 15-16 Mbps for the primary HD channel. Single Frequency Network (SFN) synchronization via GPS time-stamped data frames allows multiple low-power transmitters to broadcast identically without ghost interference, benefiting even legacy receivers. Broadcasters with underutilized spectrum, such as SD-only stations, could host multi-turbo mobile streams for several network affiliates simultaneously, making efficient use of post-analog-transition channel allocations.

Articles

Streaming Undecoded Dolby Advanced Audio Soundtrack on HD DVD

The Toshiba HD-A35, announced for October 2007 at $500, confirms that HD DVD players can pass undecoded, unmixed Dolby TrueHD and DTS Master Audio bitstreams directly through an HDMI 1.3 output to an external A/V receiver, contradicting earlier statements from Dolby suggesting the DVD Forum had not approved such pass-through functionality. This development also reverses Toshiba's own prior denials about implementing the feature, raising questions about manufacturer reliability. Consumers evaluating HD DVD equipment should factor in the pattern of shifting specifications and contradictory announcements before committing to hardware purchases.

Articles

Mobile DTV Reception - Advanced-Vestigial Side-Band (A-VSB) - Bandwidth Requirements

Advanced-Vestigial Side-Band (A-VSB) mobile DTV technology imposes measurable bandwidth tradeoffs on the 19.4Mbps allocated to terrestrial DTV stations, with the Scalable Robust Streaming (SRS) option consuming 2-3Mbps and Turbo Coding scalable up to 600kbps for handheld screens up to 5 inches. Combining a 4Mbps Turbo Coding stream with a 3Mbps SRS signal leaves only 12.4Mbps for the main HD program, which Godfrey acknowledged is workable but challenging. Broadcasters running a single HD signal alongside multiple SD multicasts face the tightest constraints, making careful bandwidth allocation a practical necessity before deployment.

Articles
Mobile DTV Reception - Advanced-Vestigial Side-Band (A-VSB) - The System

Mobile DTV Reception - Advanced-Vestigial Side-Band (A-VSB) - The System

Advanced-Vestigial Side-Band (A-VSB) is a mobile DTV broadcast system proposed to the ATSC in December 2005, built on top of the existing 8-VSB terrestrial standard and using forward-error-correction turbo-coding that allocates roughly four-fifths of transmitted bandwidth to robustness, yielding only 375 kbps of usable video from a 1.5 Mbps stream. Real-world testing by Sinclair, Samsung, and Rohde and Schwarz confirmed reliable reception at speeds up to 150 mph using a Samsung YEPP media player decoding MPEG-4 content. Backward compatibility with legacy 8-VSB receivers and a potentially software-only upgrade path for broadcasters make A-VSB a low-friction route to improved mobile and portable DTV coverage.

Articles
2007 HDTV Technology Review, Part 1: Introduction & TOC

2007 HDTV Technology Review, Part 1: Introduction & TOC

The 2007 HDTV Technology Review by Rodolfo La Maestra surveys the full consumer HDTV landscape as of May 2007, covering display technologies including 1080p panels, DLP, LCoS (JVC D-ILA and Sony SXRD), plasma, and emerging formats such as SED, OLED, and FED. The report also addresses the competing HD DVD and Blu-ray formats, CableCARD implementation, DOCSIS 3.0, IPTV, and DTV transition mandates with detailed manufacturer specifications across hundreds of products. Consumers evaluating display purchases or HD disc format choices will find comparative specs and industry trend analysis drawn from CES 2007, CEDIA, NAB, and CEATEC.

Articles
Hi-Def DVD - Audio Streaming Over HDMI

Hi-Def DVD - Audio Streaming Over HDMI

Hi-Def DVD players using HDMI 1.3 face format-level restrictions on audio pass-through streaming, with HD DVD's Advanced Content flag preventing undecoded soundtrack output entirely, while Blu-ray leaves the choice to manufacturers and consumers. Dolby Digital Plus requires HDMI 1.3 for streaming at up to 4.7 Mbps, unlike DTS-HD which was retrofitted into HDMI 1.1 and 1.2 specifications, and legacy Dolby Digital 5.1 sees an audible quality improvement at 640 kbps over older standard-definition bitrates. Consumers evaluating HD players and receivers should verify whether pass-through and legacy encoder features are actually implemented before purchasing.

Articles
CinemaScope™ HDHT - Part 3 - Screens and Aspect Ratios

CinemaScope™ HDHT - Part 3 - Screens and Aspect Ratios

A CinemaScope home theater system using an anamorphic lens, capable scaler, and a 2.35:1 screen can recover the roughly 30% vertical resolution lost when displaying letterboxed widescreen content on a 16:9 projector chip (720p or 1080p). The scaler adds approximately 30% interpolated horizontal lines to fill the chip's full vertical resolution, while the anamorphic lens restores correct geometry by stretching the image horizontally. Using this setup on an existing 16:9 screen instead of a proper 2.35:1 screen risks degrading a pixel-perfect source image without delivering the true Constant Height benefit the system is designed to provide.

Articles

Annual HDTV Technology Review Now Available from DisplaySearch

DisplaySearch has released the 2007 HDTV Technology Review - Industry Edition, a 560-page reference report authored by HDTV Magazine Senior Technical Director Rodolfo La Maestra, covering technologies spanning 1080p implementation, HDMI, DisplayPort, IPTV, HD DVD, and multi-channel audio. Priced at $995 and reflecting product introductions as of May 2007, the report also addresses HD-related government mandates and digital connectivity standards including DVI and IEEE 1394. For industry professionals navigating an increasingly complex HD landscape, this annual report serves as a consolidated technical and market reference.

Bulletins
CinemaScope™ HDHT - Part 2

CinemaScope™ HDHT - Part 2

A 2.35:1 CinemaScope home theater system requires a vertical-stretch scaler, anamorphic lens, and lens transport working in combination to fully utilize a 1080p projector's 2,073,600-pixel chip resolution, eliminating the roughly 30% of vertical pixels wasted on letterbox bars in standard 16:9 setups. The author details how 720p projectors (921,600 pixels) remain viable but are less suited to wider screens where horizontal expansion by the anamorphic lens magnifies resolution limits. For dedicated widescreen movie viewers, this constant-height approach delivers a proportionally correct 2.35:1 image with maximum light output, though it involves real trade-offs for viewers who frequently watch 16:9 or 4:3 content.

Articles
CinemaScope™ HDHT - Part I - The Concept

CinemaScope™ HDHT - Part I - The Concept

Achieving true CinemaScope-style home theater requires addressing the fundamental mismatch between the 2.35:1 cinematic aspect ratio and the 16:9 (1.78:1) HDTV standard, where black bars consume roughly 30% of available resolution on a 1080p display. The 'constant height' projection approach, combining anamorphic lenses, scalers, and motorized lens transports, allows the image width to expand for 2.35:1 content while maintaining consistent screen height. This multi-component solution demands careful coordination between projector, scaler, and lens manufacturers, and carries real-world budget and installation implications that most single-product reviews overlook.

Articles
HDMI Part 10 - Meeting the Standard

HDMI Part 10 - Meeting the Standard

Silicon Image's Simplay HD Testing Program, launched in January 2006 to replace the discontinued PanelLink Cinema Partners Program, certifies consumer electronics devices including HDTVs, set-top boxes, A/V receivers, and DVD players for compliance with HDMI and HDCP specifications. The program offers three tiers of participation, with the Simplay Elite tier carrying a $10,000 annual fee and four free tests, while verified products must support all audio and video capabilities equivalent to analog and S/PDIF outputs over HDMI. For consumers, the Simplay HD logo provides a reliable indicator that a device has passed interoperability testing and will deliver a compatible, premium HD experience.

Articles
HDMI Part 9 - Industry Adoption

HDMI Part 9 - Industry Adoption

HDMI adoption surged dramatically by mid-2006, with over 435 manufacturers worldwide implementing the specification, up from 300 earlier that year, and shipments projected to reach 59 million HDMI-equipped devices in 2006 alone. Key industry bodies including EICTA mandated HDMI or DVI inputs on all 'HD Ready' certified televisions in Europe, while CASBAA pushed for HDMI on HD set-top boxes across Asia. For consumers, this broad cross-industry alignment - spanning CE manufacturers, PC graphics vendors like NVIDIA and ATI, and content owners like Disney - signals a rapidly maturing, interoperable HD ecosystem.

Articles
HDMI Part 8 - Cables for 1.3

HDMI Part 8 - Cables for 1.3

HDMI cable performance hinges on low intra-pair skew, the precise matching of wire lengths within each differential signal pair, rather than cable thickness or price. The existing installed base of HDMI cables is rated only to 75MHz (Category 1, supporting 720p/1080i), while 1080p and deep color require Category 2 certification tested up to 340MHz, though HDMI 1.3's mandatory equalizer technology allows compliant 165MHz cables to extend performance to 340MHz without hardware changes. Consumers connecting Blu-ray players or PS3 consoles to 1080p displays should verify their cable carries a Category 2 rating to avoid compatibility failures.

Articles
HDMI Part 7 - Type A and B Connectors (Did You Know a Type B Existed?)

HDMI Part 7 - Type A and B Connectors (Did You Know a Type B Existed?)

HDMI Type A connectors have supported 1080p60 (148.5MHz) since HDMI 1.0, and the HDMI 1.3 specification raised Type A single-link bandwidth from 165MHz to 340MHz (10.2Gbps), effectively eliminating any practical need for the Type B dual-link connector. The Type B connector, theoretically capable of doubling bandwidth to 20.4Gbps, has never entered production by any cable or connector manufacturer. For consumers, this means all mainstream and high-end CE and PC applications are fully served by standard Type A cables, while the newly introduced Type C mini-connector targets camcorders and digital still cameras.

Articles

HDMI Part 6 - 1080p Support

HDMI has supported 1080p/60fps since version 1.0, yet the specification never mandates 1080p capability for any device class, meaning first-generation HDMI chips frequently lacked the bandwidth required for 1080p transport. A 1080p pass-thru feature on external video processors is critical for maintaining signal integrity when mixing Blu-ray sources with non-1080p devices, while frame rate mismatches - such as a Pioneer Elite Blu-ray player outputting 1080p/24fps to a display accepting only 1080p/60fps - can force 2:3 pulldown conversion and introduce artifacts. Consumers building a 1080p signal chain must verify that every HDMI chip in the path is 1080p-capable and that processors avoid unnecessary reprocessing of native 1080p content.

Articles
HDMI Part 5 - Audio in HDMI Versions

HDMI Part 5 - Audio in HDMI Versions

HDMI versions 1.1 through 1.3 each introduced distinct audio capabilities, from DVD-Audio CPPM support and DSD/SACD transport in 1.2 to the 24 Mbps bandwidth of 1.3 enabling external decoding of Dolby TrueHD, Dolby Digital Plus, and DTS-HD Master Audio by a compatible A/V receiver. The two-way HDMI handshake allows source devices to adapt output to the receiving device's declared capabilities, meaning a 5.1 DD signal is down-mixed to stereo only on outputs connected to two-channel displays. Consumers evaluating HD DVD or Blu-ray systems should verify that HDMI transmitter and receiver chips in both devices support the required specification version before assuming hi-bit audio formats will pass through correctly.

Articles
HDMI Part 4 - 1.3 Backward Compatible with non-1.3 Equipment? How?

HDMI Part 4 - 1.3 Backward Compatible with non-1.3 Equipment? How?

HDMI 1.3 introduces Deep Color support with 30-bit, 36-bit, and 48-bit pixel depths (10, 12, and 16 bits per component in 4:4:4), while maintaining backward compatibility through adaptive source-sink negotiation that falls back to standard 24-bit output when needed. The deeper color pixels are transmitted at a higher clock rate, packing 4 larger pixels where 5 existed before, without altering the 8-to-10 bit TMDS encoding layer. For consumers, this means even standard DVD and STB sources can benefit from reduced color banding when video processing expands the 8-bit signal internally.

Articles
HDMI Part 3 - HDMI Version 1.3, Digital Connectivity at its Best

HDMI Part 3 - HDMI Version 1.3, Digital Connectivity at its Best

HDMI 1.3 doubles single-link bandwidth from 4.95 Gbps to 10.2 Gbps and expands color depth from 24-bit to up to 48-bit (RGB or YCbCr), enabling support for the xvYCC color space that covers 1.8 times more colors than existing HDTV signals. The specification also adds lossless audio format support for Dolby TrueHD and DTS-HD, automatic lip sync correction, refresh rates up to 120Hz, and a new mini connector for portable HD devices. For consumers, these changes translate to sharper motion, eliminated color banding, and richer tonal gradations on compatible displays.

Articles
HDMI Part 2 - "I Want My Version X.Z"

HDMI Part 2 - "I Want My Version X.Z"

HDMI versions 1.0 through 1.2 support 24-bit pixels (8 bits per component in RGB and YCbCr 4:4:4, or up to 12 bits per component in YCbCr 4:2:2), while the forthcoming HDMI 1.3 expands color depth to 30-bit, 36-bit, and 48-bit pixels via TMDS encoding. CEC (Consumer Electronics Control) enables one-touch system-wide device control without complex programmable remotes, and automatic sink-to-source audio/video format negotiation removes manual configuration burdens. Readers evaluating source devices like the PS3 or PCs that render content dynamically will find the deeper color capabilities of HDMI 1.3 directly relevant to future display investments.

Articles
HDMI - A Digital Interface Solution

HDMI - A Digital Interface Solution

HDMI 1.0, announced December 9, 2002 by seven founding companies, supports uncompressed 1080p video and 8-channel digital audio at up to 192 kHz over a single 19-pin cable, with an initial bandwidth of 4.95 Gbps later doubled to 10.2 Gbps in version 1.3. Version 1.3 also adds Deep Color support (30-, 36-, and 48-bit color depth), the xvYCC color standard, and lossless audio format passthrough for Dolby TrueHD and DTS-HD Master Audio. Consumers with older HDTVs lacking HDMI should be aware that content protection requirements may prevent HD viewing even on paid services, making HDMI adoption a practical necessity rather than a purely technical upgrade.

Articles
High-Def DVD Part II - Taiwan Challenger

High-Def DVD Part II - Taiwan Challenger

Taiwan's Forward Versatile Disc (FVD) is a red laser (650nm) HD format supporting 720p and 1080i/p24 video at a peak bit rate of 15Mbps, using the ITRI-AES content protection system rather than Microsoft DRM. FVD players, priced at $250 with DVI/HDMI and component analog outputs, were already commercially available as of CES 2006, backed by an alliance of 29 companies including disc makers RiTek and CMC Magnetics and player manufacturers such as BenQ and LITE-ON. For consumers, FVD also offers PC playback via existing DVD-ROM drives without additional hardware, making HD movie access unusually accessible for the format.

Articles
Why 1080p? - Part 3 - Front Projectors

Why 1080p? - Part 3 - Front Projectors

A new wave of true 1080p front projectors arrives in 2006, led by the Sony VPL-VW100 (Ruby) at $10,000 using SXRD LCoS technology with a 15,000:1 contrast ratio, and the JVC DLA-HD10K at $25,000 with D-ILA accepting 1080p at 48/50/60fps over DVI-D. Texas Instruments' new 2-million-mirror DMD chip eliminates the wobulation compromise of earlier 1080p DLP designs, enabling projectors like the Optoma HD81 to deliver full 1920x1080 resolution. Matching these projectors with Blu-ray players requires careful attention to frame rate compatibility and signal chain processing, as 2:3 pulldown conversions and interlacing stages can degrade 24fps film content before it reaches the screen.

Articles

Hi-Def DVD? - Blue laser? Well, what else is out there?

The Chinese EVD format, introduced around 2003-2004, offered HD playback at a retail price of roughly $120 domestically and a projected $250 in the US, compared to Blu-ray units priced near $2,000 to $3,800 at the time. EVD's storage capacity was limited to approximately 105 minutes at 720p or 50 minutes at 1080i, raising serious doubts about Hollywood studio support for feature-length content. This retrospective traces the tangled format war involving Blu-ray, HD DVD, EVD, and FVD, illustrating how content protection complexity and fragmented standards repeatedly delayed viable consumer products.

Articles

Digital Connectivity - A Tutorial

Digital connectivity for HDTV equipment centers on three key interfaces: DVI (introduced April 1999 with a single-link capacity of 165 MHz and up to 4.95 Gbps across three channels), IEEE 1394 (supporting up to 3.2 Gbps over glass optical fiber for compressed MPEG-2 HD signals at approximately 19 Mbps), and HDMI 1.0 (announced December 2002, carrying uncompressed HD video plus 8-channel audio up to 192 kHz on a single 19-pin cable). Understanding the bandwidth limits, HDCP compliance requirements, and connector compatibility of each interface helps consumers avoid interoperability problems when selecting HDTV source and display equipment.

Articles
Multi-channel Audio for HD

Multi-channel Audio for HD

Dolby TrueHD, announced in September 2005 as a lossless multichannel format for Blu-ray and HD DVD, supports up to 8 channels at sampling frequencies from 48 to 192 kHz with 16 to 24-bit word lengths and data rates up to 18 Mbps, making it bit-for-bit identical to studio masters. HD DVD mandates both Dolby Digital Plus and Dolby TrueHD, while Blu-ray treats them as optional alongside DTS-HD, leaving legacy 5.1 Dolby Digital and DTS as the only required codecs. Consumers face real connectivity decisions between HDMI 1.1 PCM transport, multichannel analog outputs, and S/PDIF fallback at 640 kbps, with HDMI 1.3 eventually enabling receiver-side decoding of hi-bit streams.

Articles

1080p into HDTV Displays

Brillian's 65-inch 6580iFB LCoS rear-projection set operates at 120 fps and accepts external 1080p signals via DVI at 24, 30, and 60 fps, using up to 320-tap FIR filters for scaling and pixel-by-pixel motion adaptive deinterlacing on 480i inputs. However, the onboard A/D converter is limited to 140 MHz, falling short of the 148.5 MHz required for analog 1080p/60Hz sources, and 24/30 fps DVI inputs incur roughly 30% temporal/spatial resolution loss pending a software update. Buyers weighing first-generation 1080p sets should understand that 1080p input acceptance, deinterlacing quality, and software upgradeability vary significantly and directly affect real-world image performance.

Articles
HDTV Technology Review, Part 1: Introduction

HDTV Technology Review, Part 1: Introduction

The 2006 HDTV Technology Review by Rodolfo La Maestra is a 207-page comprehensive industry report covering display technologies including DLP, LCoS, plasma, LCD, and emerging formats such as SED, OLED, and FED, alongside the competing HD DVD and Blu-ray format war. The report documents digital connectivity standards including HDMI v1.2 and IEEE-1394 FireWire, content protection frameworks like AACS and the Broadcast Flag, and the push toward 1080p as the emerging resolution benchmark. Readers gain a structured reference for comparing hundreds of products with full specifications, enabling informed purchasing decisions across current and forthcoming H/DTV equipment.

Articles
Analysis of DTV Content Protection Rulings and Agreements

Analysis of DTV Content Protection Rulings and Agreements

The FCC's 2003-2004 DTV content protection framework combined the Plug-and-Play cable agreement, mandating IEEE1394 FireWire with DTCP and DVI/HDMI with HDCP on HD-STBs by July 2005, with the Broadcast Flag ruling targeting redistribution control rather than copy restrictions. Key unresolved issues included the analog hole vulnerability, where 1080i content could be down-converted to 480i (roughly 16% of original pixel count) over unprotected component outputs, and DirecTV's February 2004 request to enable down-resolution for non-broadcast content. Early HDTV adopters with only analog connections faced potential loss of full HD viewing rights depending on how remaining FCC negotiations with the MPAA concluded.

Articles

Is HDTV Complex Enough?

HDTV adoption in 2004 involves navigating multiple layers of technical and regulatory complexity, from choosing among display technologies (DLP, LCD, LCoS, CRT, plasma) with differing native resolutions (720p or 1080i) to managing competing connectivity standards (DVI, HDMI, IEEE1394, component YPbPr) burdened by copy protection schemes (HDCP, DTCP, Broadcast Flag). Content protection mandates from the MPAA can force analog component connections to down-rez HD signals to SDTV quality, directly undermining the premium hardware consumers purchased. Understanding these constraints before buying helps avoid costly surprises, but many issues remain outside the consumer's control regardless of how thoroughly they research.

Articles
HDTV Products - Looking Into the Future

HDTV Products - Looking Into the Future

A mid-2004 survey of HDTV product lines from Hitachi, Mitsubishi, Samsung, Sony, Thomson, and Toshiba documents the industry's shift toward CableCARD-integrated displays, with DLP rear-projection sets using Texas Instruments HD2+ and xHD3 DMD chips emerging as a primary focus alongside early large-panel LCD and plasma introductions. Samsung's 61-inch 1080p DLP RPTV (HL-P6197W, $6500) and Sony's SXRD LCoS set (KDS-70XBR100, $10,000 native 1920x1080) represent the high-end frontier, while HDMI and IEEE-1394 connectivity standards were being inconsistently adopted across integrated models. Buyers in this period faced a $400-$1000 premium for mandatory ATSC/QAM tuner integration, with monitor-only alternatives still available for direct price comparison but destined to disappear under FCC mandate.

Articles

HDTV Integrated Tuners, and You

The 2003 consumer electronics landscape saw the FCC mandate ATSC terrestrial DTV tuners in all TV sets 13 inches and larger by July 1, 2007, while a parallel cable industry agreement introduced CableCARD-based unidirectional plug-and-play compatibility, with integrated HDTV sets costing $300 to $1,300 more than monitor-only equivalents. HD set-top boxes remained priced between $400 and $900 MSRP, and IEEE-1394 FireWire with DTCP was specified as the required interface for recordable HD streams. Buyers in 2003-2004 needed to weigh whether a cable-integrated HDTV would still require a separate STB for VOD and interactive services, making a monitor-plus-leased-STB approach a practical hedge against rapidly evolving standards.

Articles

Why 1080p? - Part 2 - A Brillian(t) Case

Brillian's 65-inch 6580iFB LCoS rear-projection set renders all sources at 1920x1080 via 120 fps output, using up to 320-tap FIR filters for scaling rather than simple interpolation, which preserves image sharpness and enables non-linear aspect ratio handling. The set accepts native 1080p over DVI at 24, 30, and 60 fps, though 24 and 30 fps inputs incur roughly 30% temporal/spatial resolution loss pending a firmware update. Buyers considering a first-generation 1080p RPTV will find this technical breakdown of deinterlacing, upconversion pipelines, and upgrade paths directly relevant to long-term investment decisions.

Articles

Why 1080p?

The 1080p standard requires displays to accept native 1920x1080p signals at 24/30/60 fps from external sources, yet many first-generation 1080p HDTVs lack this input capability, forcing reliance on inferior internal de-interlacers. External video processors from Faroudja, DVDO, Lumagen, or Silicon Optix Realta-based scalers can deliver superior 1080p upconversion, but only if the display accepts a 1080p input signal. Viewers in typical far-field seating positions or smaller rooms may never perceive a meaningful resolution advantage over 1080i or 720p, making the premium cost of 1080p a situational value proposition.

Articles

Buying an HDTV? How to be prepared to select the one for you

Originally published in 2003, this consumer guide to HDTV purchasing covers the 18-format ATSC DTV standard, distinguishing 480i/p SD from 720p and 1080i HD resolutions, and explains why most of the 6 million HDTVs sold by that time were purchased primarily for 480p progressive-scan DVD playback rather than true HD broadcast reception. The guide addresses practical tradeoffs including aspect ratio management on 16x9 panels, NTSC upscaling limitations on large screens, and the $400-$1000 cost of HD set-top-box tuners relative to display budgets. Readers evaluating display technologies such as DLP, plasma, LCD, and CRT rear-projection will find the viewing-distance and room-condition analysis directly applicable to making a well-informed purchase.

Articles

2005 HDTV Report, Part 18: Content Protection

The FCC's Broadcast Flag mandate, approved in November 2003 and set to take effect July 1, 2005, embeds a digital code in broadcast streams to limit redistribution while still permitting personal digital copies of HD content. The FCC approved 13 content protection technologies in August 2004, including DTCP (5C) over IEEE 1394, HDCP over DVI/HDMI, VCPS for DVD+R/RW recording, and Microsoft's WMDRM for streaming with millisecond-cap enforcement. Consumers keeping existing equipment remain unaffected, but new compliant devices will face output down-resolution and copy restrictions depending on which protection layer is applied.

Articles
2005 HDTV Report, Part 17: Digital Connectivity

2005 HDTV Report, Part 17: Digital Connectivity

DVI 1.0, introduced in April 1999, supports uncompressed HD signals via TMDS protocol with single-link bandwidth of 165 MHz (4.95 Gbps across three channels), sufficient to carry 1080i at 74.25 MHz and even 1080p/60 at 148.5 MHz without a second link. HDMI 1.0, announced in December 2002, extends DVI with 8-channel audio up to 192 kHz and HDCP content protection on a single 19-pin cable, while IEEE 1394b reaches 3.2 Gbps over 100 meters of glass optical fiber for compressed HD transport. Consumers evaluating digital connectivity for HDTV setups need to verify HDCP compliance and chip generation, as first-generation HDMI chips lacked 1080p support and some displays exhibited DVI/HDMI interoperability issues.

Articles

2005 HDTV Report, Part 16: Non-Display Equipment with HDMI/DVI/IEEE 1394

At CES 2005, a wave of A/V receivers and DVD players debuted with HDMI 1.1 and DVI connectivity, with flagship units such as the Denon AVR-4806 offering 3 HDMI inputs, IEEE1394 for DVD-Audio/SACD, and Audyssey MultEQ room correction at a $3000 price point. Samsung's AV-R3000 pushed further with 4 HDMI inputs, 250x7 watt channels, and component 480i upscaling to 1080i, while the Denon DVD-5910 became the first player to deploy the Teranex Realta HQV deinterlacer chip. Buyers in 2005 faced a clear tiering: full HDMI switching remained largely confined to $3000-$6000 receivers, making component selection critical for future-proofing a home theater system.

Articles
2005 HDTV Report, Part 15: HDTV IC Chips

2005 HDTV Report, Part 15: HDTV IC Chips

A 2005 industry survey of HDTV integrated circuit developments covers key chipsets from multiple manufacturers, including Broadcom's BMC3520 single-chip DTV receiver priced at $20 per unit in 10,000-unit quantities and STMicroelectronics' Sti7710 HD-STB chip featuring Hi-speed USB at 480 Mbps. Silicon Optix's Realta HQV processor stands out as a programmable DSP capable of one trillion operations per second, upconverting 1080i to 1080p at up to 120 fps, with the Denon-5910 DVD player as its first consumer implementation. Readers evaluating display or set-top hardware will find this roundup useful for understanding which silicon platforms were shaping HDTV performance and market direction in early 2005.

Articles
2005 HDTV Report, Part 14: HDTV Video Cameras

2005 HDTV Report, Part 14: HDTV Video Cameras

The HDV format, established in late 2003 and backed by Canon, JVC, Sharp, and Sony, uses mini-DV tape with MPEG-2 compression at 1080i and 720p resolutions, enabling consumer and professional HD recording on existing media. Sony's HVR-Z1 HDV camcorder achieves 1440x1080 effective resolution by offsetting its green CCD one-half element spacing, boosting horizontal resolution 150% over its 960x1080 native matrix. Editors working with HDV footage had emerging software options including Cineform's Connect HD for Vegas 5 at $150 and Ulead MediaStudio Pro support for the HDR-FX1.

Articles

2005 HDTV Report, Part 13: HD Signal Processors

A 2005 CES report survey of HD signal processors covers a range of scalers and video processors, with units spanning $1000 to $15000 and output resolutions up to 1920x1080p at 60fps. Notable entries include the forthcoming Algolith Dragon Fly scaler built around the Realta HQV chip, targeting 1080p/60 output from inputs ranging 480i to 1080i, and Key Digital's Digital Blaster, which processes SDI signals at 270 Mb/s (SD) or 1.485 Gbps (HD) entirely in the digital domain. Buyers evaluating home theater or professional display installations will find detailed specs on DVI/HDCP compliance, deinterlacing capabilities, and analog-to-digital transcoding across competing product lines.

Articles

2005 HDTV Report, Part 12: HDTV Recorders

A 2005 survey of HD recording hardware covers a range of devices from Elgato's EyeTV 500 ATSC tuner for Mac OS X, which requires 8GB of HDD space per HDTV hour, to JVC's HM-DT100 D-VHS VCR featuring HDMI output and 4-hour recording on DF-480 tape. Sony's HVR-M10U professional HDV 1080i VTR and Thomson's RCA Scenium DVR2160, capable of 18 hours of HD or 80 hours of SD recording, illustrate the wide price and performance range available. Buyers in this era faced critical compatibility constraints, as some units like the Toshiba Symbio required IEEE-1394/DTCP connections and worked only with specific integrated TV sets.

Articles
2005 HDTV Report, Part 11: High Definition DVD

2005 HDTV Report, Part 11: High Definition DVD

The format war between Blu-ray and HD DVD dominated CES 2005, with Blu-ray offering 50GB dual-layer capacity on a 0.1mm protection layer disc and HD DVD countering with 30GB dual-layer using familiar 0.6mm bonded disc construction compatible with existing DVD production infrastructure. Both formats mandated MPEG-2, H.264, and VC-1 video codecs, while HD DVD additionally required Dolby Digital+ and MLP lossless audio, with optional 6.1-channel DTS-HD support at up to 18Mbps over HDMI. Consumers evaluating early hardware faced player prices starting around $1,000 and limited software availability, with major studio commitments still split across competing camps heading into late 2005.

Articles
2005 HDTV Report, Part 10: HDTV Tuners & Tuning DVR's

2005 HDTV Report, Part 10: HDTV Tuners & Tuning DVR's

A comprehensive 2005 survey of HD set-top boxes and DVR systems covers competing platforms from Dish Network, DirecTV, Motorola, Scientific Atlanta, Sony, and others, with storage capacities ranging from 80GB to 500GB and recording times spanning 8 to 60 hours of HD content. Key technical distinctions include support for ATSC/QAM tuners, DVI/HDCP and HDMI outputs, IEEE 1394 connectivity gaps, and emerging MPEG-4 migration plans. Buyers evaluating these units must weigh IEEE 1394 omissions, which block D-VHS archival and FCC-mandated cable plug-and-play compliance, against DVR capacity and multi-room networking features.

Articles
2005 HDTV Report, Part 9: LCD TV Panels

2005 HDTV Report, Part 9: LCD TV Panels

The CES 2005 landscape for large-format LCD-TV panels (40 to 65 inches) saw aggressive competition across major manufacturers, with flagship models such as Samsung's 57-inch LNR570D ($16,000) delivering 1920x1080 resolution, sub-8ms response time, and integrated ATSC/QAM CableCARD tuners. Sharp's 65-inch AQUOS pushed panel size boundaries with 12ms Quick Shoot circuitry, while Samsung's 46-inch LNR460D introduced LED backlighting claiming 100,000 hours of panel life and 105 percent of the NTSC color gamut. Buyers evaluating premium LCD-TVs in this period faced a wide range of connectivity options - including HDMI, DVI/HDCP, and IEEE1394 - alongside significant price and availability variation across competing platforms.

Articles
2005 HDTV Report, Part 8: Plasma Panels

2005 HDTV Report, Part 8: Plasma Panels

A comprehensive 2005 market survey of plasma display panels covers dozens of manufacturers, with resolutions ranging from 852x480 EDTV to 1920x1080p full HD, contrast ratios reaching 5000:1, and pricing spanning from $2000 to $90000. Key connectivity standards across the lineup include DVI/HDCP, HDMI, and IEEE 1394, while integrated models feature ATSC/QAM CableCARD tuners and advanced image processing engines. Buyers evaluating plasma displays in this period will find detailed specs, street prices, and availability timelines for virtually every major brand competing in the market.

Articles
2005 HDTV Report, Part 7: DLP RPTVs and FPTV Projectors

2005 HDTV Report, Part 7: DLP RPTVs and FPTV Projectors

Texas Instruments' DLP chip lineup at CES 2005 ranged from the 720p HD3 to the 1080p xHD3, which uses a 960x1080 mirror array and a 1/120th-second pixel-shifting technique to render a full 1920x1080 image at 60 frames per second. Contrast ratios across the surveyed projectors and RPTVs spanned from 1200:1 to 8000:1, with DarkChip2 and DarkChip3 technologies driving the higher-end figures. Consumers evaluating 1080p rear-projection or front-projection displays in 2005 faced a broad market spanning $1,250 entry-level units to $30,000 three-chip professional projectors, with CableCARD integration and HDMI connectivity becoming standard differentiators.

Articles
2005 HDTV Report, Part 6: CRT, LCoS, D-ILA, SXRD, SED, and LCD

2005 HDTV Report, Part 6: CRT, LCoS, D-ILA, SXRD, SED, and LCD

Rodolfo La Maestra's 2005 HDTV Technology Review catalogs CRT, LCoS, D-ILA, SXRD, SED, and LCD rear-projection and front-projection display technologies from CES 2005, covering dozens of manufacturers with specifications ranging from 720p to 1920x1080p native resolution and contrast ratios up to 8600:1 in Toshiba's forthcoming SED panels. Key developments include JVC's 70-inch D-ILA 1080p RPTV, Sony's SXRD-based 3000:1 CR set, and Toshiba/Canon's SED technology targeting 1ms response time with LCD-equivalent pricing at 50 inches. Buyers evaluating large-screen HDTVs in 2005 faced a rapidly shifting landscape as manufacturers transitioned from CRT to fixed-pixel displays and integrated CableCARD tuners became a key differentiator.

Articles

2005 HDTV Report, Part 5: Analysis of H/DTV Equipment

A 2005 HDTV market analysis covers the competitive landscape across CRT, LCD, Plasma, DLP, and LCoS display technologies, noting that Sharp's 45-inch 1080p AQUOS LCD panel launched at $10,000 MSRP while comparable plasma panels only reached 1080p at significantly larger screen sizes. The report highlights TI DMD chip generations (HD2, HD3, HD2+) driving RPTV pricing, and details how ATSC/QAM tuner integration adds $400-$1,000 to set costs. Consumers face a practical consequence: an estimated 30-plus million HDTVs sold through 2006 will ship with only unidirectional CableCARD functionality, potentially forcing early replacements or duplicate STB leases before bidirectional support arrives.

Articles

2005 HDTV Report, Part 4: Satellite, Cable, Broadcasting

DirecTV and Dish Network were both planning transitions to MPEG-4 AVC compression in 2005-2006, with DirecTV targeting late 2005 alongside new Ka-band satellite launches capable of delivering over 1000 local HD channels and 150 national HD channels by 2007. Dish Network acknowledged that no currently installed STB supports MPEG-4 and that the multi-year transition could not be accomplished via firmware or card replacement, requiring full hardware swaps. For consumers, these competing satellite upgrade paths meant significant receiver replacement costs and service disruptions before expanded HD channel capacity would become available.

Articles

2005 HDTV Report, Part 3: Market Penetration of H/DTV

CEA data from 2004 shows DTV unit sales reached 4.4 million in the first nine months alone, a 71% increase over the same period in 2003, with October 2004 recording 968,000 sets sold at $1.29 billion, a 136% unit increase year-over-year. By December 2004, cumulative DTV sales since 1998 totaled 14.3 million sets representing roughly $23 billion, with LCD flat panels accelerating sharply at 290,000 units in October alone. CEA projections forecast 10.8 million units in 2005 rising to 27 million by 2008, signaling that HDTV had shifted from early-adopter curiosity to mainstream consumer purchase.

Articles
2005 HDTV Report, Part 2: HDTV Implementation Update

2005 HDTV Report, Part 2: HDTV Implementation Update

The FCC mandated ATSC terrestrial DTV tuners in all TV sets 13 inches and larger by July 1, 2007, with a phased-in schedule requiring 100 percent compliance for sets 36 inches and larger by July 1, 2005. Digital cable-ready TVs were required to support IEEE-1394 FireWire with DTCP by April 2004 and DVI/HDMI with HDCP by July 2005, while CableCARD replaced the POD standard for accessing scrambled channels. For consumers, these mandates meant that purchasing a new television set after mid-decade would include built-in digital reception capability, reducing dependence on separate set-top boxes.

Articles
2005 HDTV Report, Part 1: CES Highlights

2005 HDTV Report, Part 1: CES Highlights

A comprehensive CES 2005 industry survey documents the rapid expansion of HDTV, with 7 million sets sold in 2004 alone and 1080p displays beginning to compete across DLP, D-ILA, and SXRD rear-projection technologies. MPEG-4 AVC compression is enabling HD satellite expansion and potential 1080p/60fps distribution within bandwidth currently allocated for 1080i, while the Silicon Optix/Teranex HQV chip performs one trillion operations per second upconverting 1080i to 1080p at up to 120fps. Consumers evaluating HD-DVRs, Blu-ray versus HD DVD players, and large-panel purchases will find detailed specs, pricing, and real-world performance assessments across dozens of products.

Articles